Гуравдугаар сарын 30-ны байдлаар Улаанбаатар хотод гол нэрийн зарим барааны үнэ өмнөх сараас 5.6 хувь, өмнөх 7 хоногоос 1 хувиар өссөнийг Үндэсний Статистикийн Хороо мэдээллээ. Гол нэрийн хүнсний бүтээгдэхүүнүүдээс хонь, үхрийн мах болон дотоодын төмсний дундаж үнэ өнгөрсөн долоо хоногийнхоос 1.7-3.1 хувиар нэмэгдсэн байна.
Тодруулбал: 1 килограмм үхрийн цул махны дундаж үнэ хоёрдугаар сард 28,812 төгрөг байсан бол уржигдар 30,877 төгрөгт хүрчээ. Уг үнийг өмнөх оны мөн үетэй харьцуулбал 8,000 төгрөгөөр өссөн байгаа юм. 2025 оны гуравдугаар сарын 31-нд нэг килограмм үхрийн цул мах 22,394 төгрөгөөр борлуулагдаж байжээ.
Харин энэ оны хоёрдугаар сард нэг килограмм хонины мах 19,181 төгрөгөөр зарагдаж байсан бол одоо 21,435 төгрөгт болж нэмэгджээ. Нэг килограмм үхрийн ястай махны дундаж үнэ 26,976 төгрөг болж, хоёрдугаар сараас 2,395 төгрөгөөр өссөн байна.
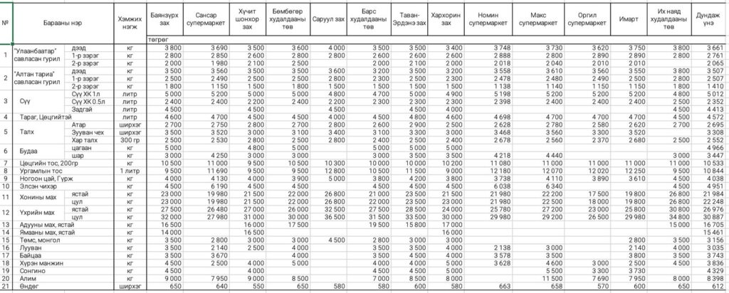
Улаанбаатар хотын гол нэрийн зарим барааны үнэ, үнийн индекс:
Үндэсний статистикийн хорооноос өргөн хэрэглээний хүнсний бүтээгдэхүүнийг 2026 оны 03 дугаар сарын 30-ны байдлаар өмнөх сар болон 7 хоногийн дундаж үнэтэй харьцуулан судалжээ.

Саруул захад нэг килограмм үхрийн цул махны дундаж үнэ 36,000 төгрөгт хүрсэн нь хамгийн үнэтэйд тооцогдож байна. Тэгвэл Оргил супермаркетад нэг килограмм үхрийн цул мах 26,500 төгрөгөөр зарагдаж байгаа аж.
Улаанбаатар хотод хүнсний гол барааны үнэ нэрийн хүнсний зах, дэлгүүрээр, 2026 оны 03 дугаар сарын 30-ны байдлаар


